O que é duration na renda fixa e como impacta seus investimentos
Aprenda o que é duration em renda fixa, como calcular, por que muda com taxas de juros e como usar para proteger seus investimento
A duration é um conceito fundamental em investimentos de renda fixa que ajuda a medir quanto um título reage às variações nas taxas de juros. Quem domina esse termo ganha maior controle sobre os riscos e pode escolher aplicações alinhadas ao perfil financeiro.
Neste artigo vamos explicar de forma simples o que é duration, como ela se compara ao prazo médio, seus tipos, cálculo, vantagens, limitações e como utilizá-la para investir melhor.
O que é duration na renda fixa
A duration em renda fixa mede o tempo médio ponderado para que o investidor recupere o valor investido (principal + juros), considerando todos os fluxos de pagamento futuros. Além disso, mostra a sensibilidade do título às variações nas taxas de juros:
- Quanto maior for a duration, maior será a sensibilidade do título às variações nas taxas de juros;
- Quanto menor for a duration, menor será a sensibilidade do título às variações nas taxas de juros.
Quais são os tipos de duration
Existem dois tipos principais de duration usados pelos investidores:
Duration de Macaulay
É a duration que vai medir o tempo médio ponderado para recuperar o investimento total, considerando todos os cupons (pagamentos de juros) e o principal.
Exemplo: imagine que você comprou um título que paga R$ 100 de juros anualmente durante 3 anos e devolve R$ 1 mil no final do terceiro ano. Mesmo que o vencimento seja em 3 anos, a duration de Macaulay será menor que 3 anos, porque parte do dinheiro já é recebido nos cupons ao longo do período. Essa medida ajuda o investidor a entender quanto tempo, em média, o capital fica investido.
Duration modificada
Derivada da de Macaulay, a duration modificada mostra a sensibilidade do preço do título a variações nas taxas de juros; ou seja, quantos por cento aproximadamente o preço do título vai variar se os juros mudarem 1 ponto percentual.
Existe uma regra de bolso usada no mercado para estimar rapidamente como mudanças na taxa de juros afetam o preço de um título. A ideia é simples: quanto maior a duration modificada, maior a sensibilidade do título às variações de juros.
De forma prática: se a taxa de juros sobe 1%, o preço do título tende a cair aproximadamente na mesma proporção da sua duration.
Exemplo: um título com duration de 3 anos terá uma queda em seu preço de cerca de 3% se a taxa de juros aumentar 1 ponto percentual.
Essa regra permite ao investidor ter uma noção rápida do risco de mercado de um título, sem precisar recorrer a cálculos complexos.

O que significa risco sistemático e qual sua relação com a duration?
Risco sistemático é o risco que afeta todo o mercado, como variações da taxa de juros, inflação ou crises econômicas. Ao investir em renda fixa, as mudanças na taxa básica de juros (por exemplo, Selic no Brasil) alteram o valor presente dos fluxos de caixa dos títulos. Então, como já mencionado, a duration mede exatamente essa exposição: títulos com alta duration sofrem mais com cenários de juros altos, enquanto os de baixa duration sofrem menos.
Quer proteger sua carteira e aproveitar oportunidades de acordo com o cenário de juros?
Qual a diferença entre prazo médio e duration?
Como já vimos, a duration mostra, de forma simplificada, quanto tempo, em média, você vai levar para receber de volta o dinheiro que investiu, considerando todos os pagamentos que o título faz ao longo do tempo, incluindo juros. Mas ela não mede só o tempo, também indica como o preço do título vai reagir se a taxa de juros mudar.
O prazo médio (ou maturidade), por outro lado, não mostra a sensibilidade do título às mudanças de juros — serve apenas para saber “quando o dinheiro vai voltar”.
Como a duration ajuda a investir melhor?
A duration funciona como uma ferramenta estratégica para o investidor:
- permite escolher títulos alinhados ao perfil e ao horizonte de investimento;
- auxilia na diversificação, combinando títulos com durações diferentes para equilibrar a carteira;
- ajuda a identificar oportunidades: em cenários de queda dos juros, títulos com duration mais alta podem valorizar mais; em cenários de alta, títulos com duration menor protegem melhor o capital.
Dessa forma, a duration não é só uma métrica teórica — é útil para tomar decisões mais conscientes e montar carteiras mais equilibradas.
Como analisar a duration de um título?
Aqui vai um checklist prático:
- Verificar qual é a duration (Macaulay ou modificada) do título informado pela corretora ou instituição financeira.
- Avaliar o cenário de juros: se há previsão de elevação ou queda.
- Compatibilizar com o perfil do investidor e horizonte de investimento: tolerância ao risco, tempo disponível, necessidade de liquidez.
- Comparar com outras alternativas de investimento que apresentem prazos, rendimentos e durações diferentes.
Como a duration é calculada?
Agora que já entendemos o que é duration e seus tipos, é hora de ver como ela é calculada na prática. Existem fórmulas diferentes para cada tipo:
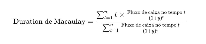
Cálculo da duration de Macaulay
A duration de Macaulay é calculada levando em conta o valor presente dos fluxos de caixa (juros + principal) e o tempo em que cada fluxo ocorre, conforme a fórmula abaixo:

Onde y é a taxa de juros por período, n é o número de períodos até o vencimento.
Cálculo da duration modificada
A duration modificada é derivada da duration de Macaulay e mostra diretamente a sensibilidade do preço do título a mudanças na taxa de juros. Ela é calculada dividindo a duration de Macaulay por 1+y, onde y é a taxa de juros por período:

Dependendo da frequência de capitalização dos juros, podem haver pequenas variações na fórmula prática. Essa medida permite estimar quanto o preço do título vai variar para cada variação percentual na taxa de juros.
Quais as limitações da duration?
- Não considera risco de crédito, ou seja, possibilidade de inadimplência do emissor.
- Assume que todos os fluxos de caixa serão pagos conforme previsto, sem variações inesperadas.
- Pode mudar ao longo do tempo — se as taxas de juros variam ou se os títulos do portfólio vencem/cupons são pagos, a duration efetiva muda.
- Não se aplica bem a títulos pós‑fixados, híbridos ou quando os pagamentos são incertos.
Como usar a duration na sua estratégia
Investidores experientes usam a duration para tomar decisões estratégicas:
- Acredita que as taxas de juros vão cair? Invista em títulos com duration mais longa (como prefixados ou IPCA+ de longo prazo).
- Acredita que as taxas vão subir? Prefira títulos com duration mais curta e/ou em pós-fixados, para reduzir o impacto negativo no preço.
Quer mais dicas sobre como usar a duration na sua estratégia?
Quer dominar a duration na prática? Assista ao vídeo com Marilia Fontes, sócia-fundadora da Nord, e aprenda como usar no Tesouro Direto e CDBs:
Duration é sua aliada na renda fixa
Saber a duration dos seus títulos é essencial para alinhar sua carteira ao cenário econômico e aos seus objetivos. Ela ajuda a tomar decisões mais conscientes e evita surpresas quando o mercado muda.
Se você ainda não domina esse conceito, vale a pena estudar mais — ou contar com a ajuda de especialistas como os do Renda Fixa PRO, que ajustam a duration da carteira conforme as perspectivas para a taxa de juros.


